Q1. If A, B, C are interior angles of
ABC, show that:
cosec2
- tan2
= 1



Solution



Q2. If acos θ + bsin θ = 4 and asin θ - bcos θ = 3, then a2 + b2 is
Solution

Q3. If
, then
equals to:

Solution

Q4. If
tan
= 3 sin
, find the value of sin2
- cos2





Solution


Q5. The express sin A in terms of cot A is:
Solution

Q6. Prove
that (cosec
- cot
)2 = 



Solution

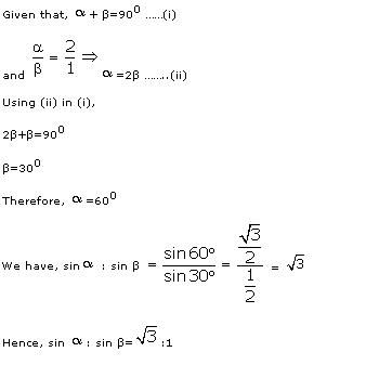
Q7. If
+ β=900 and
:β=2:1, then sin
: sin β=



Solution
Q8. If 3 cos
= 1, then the value of cosec
is :


Solution
cos
=
Let base = k and hypotenuse = 3k
Perpendicular =





Q9.
If figure, ABC is right angled triangle, right angled at C. D is mid-point of BC. Show that 


Solution
In
ABC,
In
ACD,








Q10. Without
using trigonometric table prove that:
tan
1o tan 11o tan 21o tan 69o tan 79o
tan 89o = 1
Solution
tan
1o tan 11o tan 21o tan 69o tan 79o
tan 89o
=
tan (90o - 89o) tan (90o - 79o)
tan (90o - 69o) tan 69o tan 79o tan 89o
=
cot 89o cot 79o cot 69o tan 69o
tan 79o tan 89o
=
cot 89o cot 79o cot 69o
= 1

Q11. 
Solution
Q12. In figure, AC = 13 cm, BC = 12 cm, then sec
equals :



Solution

Q13. If 6 cot
+ 2 cosec
= cot
+ 5 cosec
, then cos
is:





Solution
6 cot
+ 2 cosec
= cot
+ 5 cosec
5 cot
= 3 cosec








Q14. In figure, if D is mid-point of BC, the value of
is:


Solution

Q15. If tan 2A = cot (A - 18o), then the value of A is
Solution

Q16. Find the length of the diagonals of the rhombus shown in the figure given below.


Solution



Q17. In the given figure find tan A - cot C. 

Solution
Q18. The value of
is equal to:
Solution

Q19. Prove
that:
.

Solution




Q20. [cos4 A - sin4A] is equal to:
Solution
cos4 A - sin4A
= cos4 A - (1 - cos2A)2
= cos4 A - (1 + cos4A - 2 cos2A)
= 2 cos2 A - 1
Q21. Prove
that 

Solution


Q22. If sin (A - B) =
and cos (A + B) =
, then the value of B is:


Solution

Q23. 

Solution

Q24. If
tan
= 3 sin
, prove that sin2
- cos2
=
.






Solution








Q25. If x = 2 , y = 2
+ 1, then the value of x + y is:
Solution
Q26. If cos x = cos 60o cos 30o + sin 60o sin 30o, then the value of x is
Solution
cos x = cos 60o cos 30o + sin 60o sin 30o
We know cos 30o =
Hence, x = 30o


Q27.

Solution
Q28. Prove
that (sin A + cosec A)2 + (cos A + sec A)2 = 7 + tan2A
+ cot2A.
Solution
LHS
= (sin A + cosec A)2 + (cos
A + sec A)2
= sin2A
+ cosec2A + 2 sin A cosec A + cos2A + sec2A
+ 2cos A sec A
= 1 + 2
+ 2 + cosec2 A + sec2A
= 1 + 2
+ 2 + cot2 A + 1 + 1 + tan2A
= 7 +
cot2A + tan2A = RHS
Q29. sin (60o +
) - cos (30o -
) is equal to (where (60o +
) and (30o -
) are both acute angles):




Solution
sin (60o +
) - cos (30o -
)
= sin (60o +
) - cos (90o - (60o +
))
= sin (60o +
) - sin (60o +
)
= 0






Q30. Prove that 1
+ 

Solution
LHS =
=
1 +
= 1 +
= 1 + cosec
- 1 = cosec
=
= RHS






Q31. If
sin (60o -
) = 1, then
is:



Solution






Q32. Prove
that 

Solution

Q33. 
Solution
Q34. If tan
+ sin
= m and tan
- sin
= n, show that
m2 - n2 = 4 





Solution
m2
- n2 = (m - n) (m + n)
= (2 sin
) (2 tan
)
= 4 sin
tan
...
(i)
mn
= (tan
+ sin
) (tan
- sin
)
= tan2
- sin2
... (ii)
(i)
and (ii)
m2
- n2 = 4
.














Q35. Prove
that cos8
- sin8
= (cos2
- sin2
) (1 - 2sin2
cos2
)






Solution

Q36. The value of
is

Solution


Q37. If
A, B, C are interior angles of
ABC, show that:



Solution
cosec2
- tan2
=
cosec2
=
sec2
=
1 






Q38. Prove:
= cosec
+ cot 

Solution
L.H.S. =



Q39. If x = r sin A cos C, y = r sin A
sin C, z = r cos A, prove that r2 = x2 + y2
+ z2.
Solution
x = r sinA cosC, y = r sinA sinC, z = r cosA
x2 + y2 + z2 =
r2 sin2A cos2C + r2 sin2A
sin2C + r2 cos2A
= r2 sin2A
(cos2C + sin2C) + r2 cos2A
= r2sin2A
+ r2cos2A
= r2(sin2A
+ cos2A)
= r2 (since,
sin2
+ cos2
= 1)


Q40. If sin
=
, find the value of 



Solution
sin
=
tan
=







Q41. In figure below,
ABC is right-angled at B and tan A =
. If AC = 15 cm, then the length of AB is :



Solution
Q42. In the figure given below,
ACB = 90o,
BDC = 90o, CD = 4 cm, BD = 3 cm, AC = 12 cm. cos A - sin A is equal to:




Solution
Applying Pythagoras theorem,
BC2 = CD2 + BD2 = (4 cm)2 + (3 cm)2
BC = 5 cm
AB2 = AC2 + BC2 = (12 cm)2 + (5 cm)2
AB = 13 cm
cos A - sin A



Q43. In the figure, if PS = 14 cm, the value of tan a is equal to:


Solution
tan a =
… (1)
ST = PS - TP = 14 cm - 5 cm = 9 cm
Using Pythagoras theorem in triangle PQR, we have:
(13)2 = PQ2 + (5)2
PQ2 = 169 - 25 = 144
PQ = 12 cm
TR = PQ = 12 cm
From (1),
tan a = 

Q44. If
x = a cos
+ b sin
and y = b cos
- a sin
, then prove that x2 + y2 = a2
+ b2.




Solution
x
= a cos
+ b sin
...(1)
y
= b cos
- a sin
...(2)
Squaring
and adding, we get,
x2
+ y2 = a2 cos2
+ b2 sin2
+ 2ab sin
cos
+ b2
cos2
+ a2
sin2
- 2ab sin
cos
= a2 (sin2
+ cos2
) + b2(sin2
+ cos2
)
= a2 + b2
Hence,
proved
















Q45. The value of cos θ cos(90° - θ) - sin θ sin (90° - θ) is:
Solution
cos θ cos(90° - θ) - sin θ sin (90° - θ)
= cos θ sin θ - sin θ cos θ
= 0
Q46. If sin
= cos
, then value of
is :



Solution
Given,
We know
Thus,



Q47. The value of 5 tan2
- 5 sec2
is:
Solution
5 tan2
- 5 sec2
=5 tan2
- 5 (1 + tan2
)
= 5 tan2
- 5 - 5 tan2
= -5






Q48. If sin θ + cos θ =
sin (90° - θ), then find the value of tan θ.

Solution

Q49. [(sec A + tan A) (1 - sin A)] on simplification gives:
Solution
(sec A + tan A) (1 - sin A)


Q50. Without using trigonometric tables, prove that


Solution




Q51. From the figure, the value of cosec A + cot A is :


Solution

Q52. If cot A =
, then the value of (sin A + cos A)
cosec A is :

Solution
Q53. If cosec2
(1 + cos
) (1 - cos
) =
, then the value of
is:





Solution
Q54. The maximum value of
is:

Solution
We know
and the maximum value of sin
is 1.
Hence, the maximum value of
is 1.



Q55. If
A, B, C are interior angles of
ABC, show that:



Solution



Q56. If cos (40o + A) = sin 30o, the value of A is:
Solution
cos (40o + A) = sin 30o
cos (40o + A) = sin (90 - 60o)
cos (40o + A) = cos 60o
40o + A = 60o
A = 20o
Q57. 

Solution

Q58. Without using trigonometric tables, prove that:


Solution




Q59. Given that sin A =
and cos B =
then the value of A + B is:


Solution

Q60.
ABC is right angled at A, the value of tan B
tan C is:


Solution


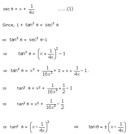
Q61. If
cosec
= x +
, prove that:
cosec
+ cot
= 2x or 





Solution
We
know: 1 + cot2 = cosec2
cot2
= cosec2
- 1
cot2
=
= x2 +
= x2 +
=
cot
=
cot
= x -
or cot
= -x +
cosec
+ cot
= 2x or cosec
+ cot x = 



















Q62. 

Solution

Q63. Prove the following trigonometric identities.


Solution

Q64. Prove
that sin A(1 + tan A) + cos A (1 + cot A) = sec A + cosec A.
Solution
LHS
= sin A(1 + tan A) + cos A (1 + cot A)
= sin A



Q65. Prove
that

Solution

Q66. If sin (20o +
) = cos 30o, then the value of
is:


Solution
sin (20o +
) = cos 30o
We know cos 30o =
sin (20o +
) =
= sin 60o
20o +
= 60o

= 40o









Q67. Find the value of tan 60o geometrically.
Solution
Consider an equilateral
ABC and let a be the length of each side of
ABC.
AB = BC = CA = a
Draw AD
BC

ABD
ACD
BD = DC
BD =
BC =
a
and
BAD =
CAD
BAD =
CAD = 30o
Using Pythagoras theorem in
ABD,
AD2 = AB2 - BD2





















Q68. Given that cos
=
then tan
is equal to


Solution


Q69. In figure below sec
is:


Solution
Using Pythagoras theorem in
ABC,
Using Pythagoras theorem in
ACD,






Q70. Prove
that : (sin
+ cosec
)2 + (cos
+ sec
)2 = 7 + tan2
+ cot2






Solution
LHS
= (sin
+ cosec
)2 + (cos
+ sec
)2
= sin2
+ cosec2
+ 2sin
cosec
+ cos2
+ sec2
+ 2cos
sec
= sin2
+ cos2
+ 2 + 2 + cosec2
+ sec2
= 1 + 4 + (1 + cot2
) + (1 + tan2
)
= 7 + tan2
+ cot2
= RHS




















Q71. In
ABC, right angled at B, if cot A=
then the value of cos A
sin C + sin A
cos C




Solution







Q72. If cos A + cos2 A = 1, then sin2 A + sin4 A is
Solution

Q73. If
and f are the acute angles of a right triangle,
and 


Solution
The two angles
and f being
the acute angles of a right triangle must be complementary angles.
So,
Substituting,
in above
equation,







Q74. 

Solution

Q75. Given 15cot A = 8, find sin A and sec A.
Solution
Q76. Prove
that 

Solution

Q77. If
sin
+ sin2
= 1, then find the value of cos2
+ cos4
.




Solution
sin
+ sin2
= 1
sin
= 1 - sin2
= cos2
sin2
= cos4
1 - cos2
= cos4
cos2
+ cos4
= 1















Q78. Prove
that:
cos
sin
- 



Solution
LHS
= cos
sin
-
=
cos
sin
-
=
cos
sin
- sin3
cos
- cos3
sin
=
cos
sin
- sin
cos
(sin2
+ cos2
)
=
cos
sin
- sin
cos
1 [Since, sin2
+ cos2
= 1]
=
0 = RHS

























Q79. If x = 3 sec2
- 1, y = tan2
- 2 then x - 3y is equal to


Solution
x = 3 sec2
- 1, y = tan2
- 2
x - 3y = 3 sec2
- 1 - 3tan2
+ 6
= 3(1) + 5 = 8
(Since, sec2
- tan2
= 1)






Q80. Prove
that:


Solution

Q81. If x. tan 45o. cot60o = sin 30o. cosec60o, then the value of x is:
Solution
x. tan 45o. cot60o = sin 30o. cosec60o


Q82. 

Solution

Q83.
ABC is a right triangle right angled at
C, then the value cosec2A - tan2B is :


Solution


Q84. If 7 sin2 q
+ 3 cos2 q = 4, then prove that sec q + cosec q
= 2 +
.

Solution
7 sin2
+ 3 cos2
= 4
7 sin2
+ 3 (1 - sin2
) = 4
sin
=
sec 30o + cosec30o
= 







Q85. If 5
tan
= 4, find the value of 


Solution
5
tan
= 4
5 sin
= 4 cos







Q86. Prove
that:


Solution

Q87. Prove
that (cosec A - sin A) (sec A - cos A) = 

Solution
LHS
= (cosec A - sin A) (sec A -
cos A)
RHS
=
Hence,
LHS = RHS




Q88. If
sin (A + B) = cos (A - B) =
and A,B
(A >B) are acute angles, find the
value of A and B.

Solution
Given,
sin (A + B) = cos (A - B) =
Therefore,
A
+ B = 60o ; A - B = 30o
Solving
for A and B, we get,
A
= 45o and B = 15o

Q89. If
tan
+ sin
= m and tan
- sin
= n
Show
that (m2 - n2)2 = 16 mn




Solution
tan
+ sin
= m
tan
- sin
= n
(m
+ n) (m - n) = 2 tan
2 sin
m2
- n2 = 4 tan
sin
L.H.S.
= (m2 - n2)2
= 16 tan2
sin2
R.H.S.
= 16 mn = 16 (tan
+ sin
) (tan
- sin
)
= 16 (tan2
- sin2
)
= 16
= 16
= 16
= 16 tan2
sin2
L.H.S.
= R.H.S.
(m2 - n2)2 = 16mn























Q90. If
tan
= 3 sin
, find the value of sin2
- cos2





Solution




Q91. If A, B, C are the interior angles of ΔABC, then prove that
.

Solution

Q92. If
= n then
Show that (m2 + n2) cos2
= n2.


Solution




Q93. If
3 cot A = 4, find the value of 

Solution





Q94. If cos
=
, then the value of cos
[cos
- sec
] is:




Solution
cos
=



Q95. Evaluate:


Solution



Q96. Prove that
.

Solution
LHS =
= 1 + cos A
= RHS



Q97. In fig.,
PQR is right angled at Q, QR = 6 cm
QPR = 60o. Find the length of PQ and PR.




Solution

Q98. 

Solution

Q99. Prove
that


Solution

Q100. In triangle ABC, right angled at A, if AB = 5, AC = 12 and BC = 13, find sin B, cos C and tan B.
Solution
Q101. Evaluate:


Solution

Q102. If sin
=
, then the value of sin
(sin
- cosec
) is




Solution
Q103. Prove
that 

Solution
L.H.S
=



Q104. Prove:


Solution

Q105. If a cot θ+ b cosec θ = p and b cot θ + a cosec θ= q then p2 - q2 is equal to
Solution
p = a cot θ + b cosec θ
q = b cot θ + a cosec θ
p2 - q2 = (a cot θ + b cosec θ)2 - (b cot θ + a cosec θ)2
= a2 cot2 θ + b2 cosec2 θ + 2ab cot θ cosec θ - b2 cot2 θ - a2 cosec2 θ - 2ab cot θ cosec θ
= a2 (cot2 θ - cosec2 θ) + b2 (cosec2 θ - cot2 θ)
= b2 - a2
(Since, cosec2 A - cot2 A = 1)
Q106. 
Solution
Q107. If
tan (A + B) =
and tan (A - B) =
, 0o < A + B
90o;
A > B find A and B.



Solution
Given,
tan (A + B) =
and tan (A - B) =
Therefore,
A
+ B = 60o; A - B = 30o
Solving
the two equations, we get,
A
= 45o ; B = 15o


Q108. Prove
that tan2
+ cot2
+ 2 = sec2
cosec2




Solution



Q109. If
cos
- sin
=
sin
, prove that cos
+ sin
=
cos
.








Solution
Given
cos
- sin
=
sin








Q110. If sec
4A = cosec (A - 20o) where 4 A is an acute angle, fine the value
of A.
Solution
Given,
sec 4A = cosec (A - 20o)
Since,
sec 4 A = cosec (90o - 4 A)
(90o
- 4 A) and (A - 20o) are acute angles
90o - 4 A = A - 20o
A = 22o


Q111. Prove
that:


Solution

Q112. 
Solution

Q113. Prove that:


Solution





Q114. If a
cos
- b sin
= c, prove that
(a sin
+ b cos
) =
.





Solution
(a
cos
- b sin
)2 = c2
a2
cos2
+ b2 sin2
- 2 ab sin
. cos
= c2
a2
(1 - sin2
) + b2 (1 - cos2
) - 2 ab sin
. cos
= c2
a2
+ b2 - c2 = (a sin
+ b cos
)2
(a
sin
+ b cos
) = 















Q115. 

Solution
Q116. Prove
that
.

Solution




Q117. Evaluate:


Solution

Q118. If sin
+ cos
= m and sec
+cosec
= n, prove
that n (
= 2m.





Solution
Given: sin
+ cos
= m and sec
+ cosec
= n
Consider L.H.S. = n
=
=
=










Q119. Prove
that 

Solution
L.H.S.



Q120. Evaluate cos 30o cos 45o - sin 30o sin 45o.
Solution

Q121. In
, right angled at Q, PR + QR = 25 cm and PQ = 5 cm. Find the value of sin P.

Solution






Q122. Prove that
= 2 sec
.

Solution
LHS =




Q123. If A +
B = 90o, then prove that 

Solution

Q124. Prove
that:


Solution





Q125. Evaluate:


Solution

Q126. Prove
the following identity:
(sin
+ sec
)2 + (cos
+ cosec
)2 = (1 + sec
cosec
)2.






Solution
Consider
L.H.S. = (sin
+ sec
)2 + (cos
+ cosec
)2
=
sin2
+ sec2
+ 2 tan
+ cos2
+ cosec2
+ 2 cot
=
1 + sec2
cosec2
+ 2 sec
cosec
=
(1 + sec
cosec
)2 = R.H.S


















Q127. 

Solution

Q128. Prove the following:


Solution

Q129. Prove
that 

Solution

Q130. 
Solution
Q131. 

Solution

Q132. Prove that tan 1o tan 2o tan 3o ... tan 89o = 1
Solution
Q133. 
Solution
Q134. Prove that sec4 A - sec2 A = tan4 A + tan2 A
Solution
L.H.S = sec4 A - sec2 A = sec2 A (sec2 A - 1) = (1 + tan2 A) (tan2 A) = tan2 A + tan4 A= R.H.SHence sec4 A - sec2 A = tan4 A + tan4 A
Q135. Prove
that:
sec2
+ cot2 (90o -
) = 2 cosec2 (90o -
) - 1



Solution
L.H.S
= sec2
+ cot2 (90o -
)
=
sec2
+ tan2
=
sec2
+ sec2 - 1
=
2sec2
- 1
=
2 cosec2‑ (90o -
) - 1







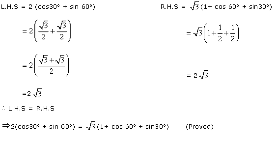
Q136. Prove that 2(cos30o + sin 60o) =
(1+ cos 60o + sin30o).

Solution
Q137. 

Solution
Q138. 
Solution
Q139. Given
that sin (A + B) = sin A cos B + cos A sin B, find the value of sin 75o.
Solution
Given,
sin (A + B) = sin A cos B + cos A sin B
sin
75o = sin (45o + 30o) = sin 45o
cos 30o + cos 45o sin 30o


Q140. Evaluate: 2sin2 30o - 3cos2 45o + tan2 60o
Solution
Q141. If
cosec (A - B) = 2, cot (A + B) =
,
0o < (A + B)
90o,
A > B, then find A and B.


Solution
cosec
(A - B) = 2
sin(A
- B) =
A - B = 30o … (1)
cot
(A + B) =
A + B = 60o … (2)
Solving
(1) and (2), we get,
A
= 45o and B = 15o





Q142. 

Solution
Q143. Prove
that 

Solution


Q144. If tan
=
, find the value of
.



Solution
tan
=
(given)




Q145. Prove
that:
(1 +
cot
- cosec
) (1 + tan
+ sec
) = 2




Solution
(1
+ cot
- cosec
) (1 + tan
+ sec
)






Q146. Prove
that 

Solution

Q147. If 5
tan
= 4, find the
value of 


Solution
5
tan
= 4
tan
=
5 sin
= 4 cos
=












Q148. In figure ABCD is rectangle in
which segments AP and AQ are drawn. Find the length (AP + AQ).


Solution


Comments
Post a Comment