Q1. If the two zeroes of the quadratic polynomial 7x2 - 15x - k are reciprocals of each other, the value of k is:
Solution
We know that if the roots are reciprocal of each other leads to product of the roots being equal to 1.
The product of roots =



Q2. Find the zeros of the polynomial f(x) = 6x2 - 3
Solution
f(x) = 6x2 - 3
= 3(2x2 - 1)
=
The zeros of f(x) are given by f(x) = 0
That is
= 0
Hence the zeros of f(x) = 6x2 - 3 are:
and
.






Q3. If
and
are the zeroes of the polynomial 4x2 + 3x + 7, then
is equal to:



Solution

Q4. If α, ß are zeroes of polynomial f(x) = x2 + px + q then polynomial having
and
as its zeroes is :


Solution

Q5. Find the zeroes of the quadratic polynomial 4x2 - 7.
Solution
4x2 - 7
= (2x)2 -
=
are the zeroes of the given polynomial.



Q6. Form a quadratic polynomial whose one of the zeroes is -15 and sum of the zeroes is 42.
Solution
One
of the zero = -15
Sum
of the zeroes = 42
Other zero = 42 + 15 = 57
Product of the zeroes = 57
(-15) = -855
The quadratic polynomial is
x2 - (sum of zeroes)x +
product of zeroes
i.e.,
x2 - 42x - 855



Q7. If (x + 1) is a factor of x2 - 3ax + 3a - 7, then the value of a is:
Solution
Given, (x + 1) is a factor of x2 - 3ax + 3a - 7.


Q8. What must be added to f(x) = 6x5 + 5x4 + 11x3 - 3x2 + x + 5 so that it may be exactly divisible by g(x) = 3x2 - 2x + 4?
Solution
Q9. If the polynomial p(x) is divisible by x - 4, and 2 is a zero of p(x), then find p(x).
Solution
Since, 2 is a zero of p(x), (x - 2) is a factor of p(x).
Also, given that (x - 4) is a factor of p(x).
Using Division Algorithm, we get
p(x) = (x - 2) (x - 4) = x2 - 6x+ 8
Q10. From a quadratic polynomial whose one of the zeroes is -15 and sum of the zeroes is 42.
Solution
One of the zero = -15
Sum of the zeroes = 42
Let the other zero be x.
-15 + x = 42
x = 42 + 15 = 57
Product of the zeroes = 57
(-15) = -855
The required quadratic polynomial is
x2 - 42x - 855




Q11. The remainder on dividing x3 + 2x2 + kx + 3 by x - 3 is 21. Sanju was asked to find the quotient. He was a little puzzled and was thinking how to proceed. His classmate gunjan helped him by suggesting that he should first find k and then proceed further.
Explain how the question was solved.
Solution
Let p(x) = x3 + 2x2 + kx + 3
Using Remainder theorem, we have:
p(3) = 33 + 2
32 + 3k + 3 = 21
k = -9
Thus, p(x) = x3 + 2x2 - 9x + 3
When p(x) is divided by (x - 3), the quotient is x2 + 5x + 6.



Q12. If (x + 1) is a factor of 2x3 + ax2 + 2bx + 1, then find the values of a and b given that 2a - 3b = 4.
Solution
Since, (x + 1) is a factor of f(x) = 2x3 + ax2 + 2bx + 1,
f(-1) = 0
-2 + a - 2b + 1 =0
a - 2b = 1...(1)
Given, 2a - 3b = 4...(2)
Solving (1) and (2), we get,
a = 5
b = 2


Q13. If the polynomial f(x) = 3x4 + 3x3 - 11x2 - 5x + 10 is completely divisible by 3x2 - 5, find all its zeroes.
Solution
Since, 3x2 - 5 divides f(x) completely
(3x2 - 5) is a factor of f(x)
3 (x2 -
) is a factor of f(x)
is a factor of f(x)
are zeroes of f(x)
(x2 + x - 2) is a factor of f(x)
(x2 + 2x - x - 2) is a factor of f(x)
(x + 2) (x - 1) is a factor of f(x)
-2 and 1 are zeroes of f(x)
Thus, all the zeroes of f(x) are
, -2 and 1.












Q14. The sum and the product of the zeroes of a quadratic polynomial are
respectively, then the polynomial is:

Solution

Q15. The number of zeroes for the polynomial y = p (x) from the given graph is:


Solution
The number of zeroes of the polynomial y=p(x) from the given graph=number of points at which the graph intersects x axis.
Since the graph intersects the x-axis at only one point, the number of zeroes of the polynomial is one.
Q16. Check
whether x2 + 3x + 1 is a factor of 3x4 + 5x3
- 7x2 + 2x + 2.
Solution

Q17. If the squared difference of the zeros of the quadratic polynomial f (x) = x2 + px + 45 is equal to 144, find the value of p.
Solution
Let the zeros of quadratic polynomial f (x) = x2 + px + 45 be α and β
α + β = -p
αβ = 45
(α - β)2 = 144
(α - β)2 - 4αβ = 144
p2 - 4
45 = 144
p2 = 144 + 180 = 324
p2 = 324 or p =
Hence p =
18







Q18. Sum and the product of zeroes of the polynomial x2 +7x +10 is
Solution

Q19. The number of polynomials having zeroes -2 and 5 is:
Solution
The polynomials having -2 and 5 as the zeroes can be written in the form
k(x + 2) (x - 5), where k is a constant.
Thus, number of polynomials with roots -2 and 5 are infinitely many, since k can take infinitely many values.
Q20. What must be added to f(x) = 2x4 + 6x3 - 4x + 8, so that the resulting polynomial is divisible by g(x) = x2 - x + 1.
Solution
By the division algorithm,
f(x) = g(x) q(x) + r(x)f(x) + [−r(x)] = g(x) q(x) + r(x)
Remainder r(x) = −6x + 2Adding -r(x) = 6x - 2 to f(x) gives the polynomial which is divisible by g(x).

Q21. If α and β are the roots of the polynomial f (x) = x2 - 2x + 3, find a polynomial whose roots are α + 2, β + 2.
Solution
Since α and β are the roots of the polynomial f (x) = x2 - 2x + 3
α + β = 2
αβ = 3
Let S and P be the sum and product of the zeros of the required polynomial. Then,
S = α + 2 + β + 2 = α + β + 4 = 2 + 4 = 6
P = (α + 2)(β + 2)+ 4 = αβ + 2(α + β) = 3 + 2
2 + 4 = 11
Hence the required polynomial g(x) is given by
g (x) = k(x2 - Sx + P)
g (x) = k(x2 - 6x + 11), where k is any nonzero real number.

Q22. Obtain all the zeros of the polynomial f(x) = 2x4 + x3 - 14x2 - 19x - 6, if two of its zeros are -2 and -1.
Solution
Q23. Check
whether x2 - x + 1 is a factor of x3 - 3x2 +
3x - 2
Solution

Q24. If the sum of the zeros of quadratic polynomial f (x) = kt2 + 2t + 3k is equal to their product, find the value of k.
Solution
Let the zeros of quadratic polynomial f (x) = kt2 + 2t + 3k be α and β


Q25. On
dividing the polynomial p(x) = 9x4 - 4x2 + 4 by the
polynomial g(x) = 3x2 + x - 1, the remainder is ax - b. Find a and
b.
Solution

Q26. If α, β, γ are zeroes of polynomial 6x3 + 3x2 - 5x + 1, then find the value of α-1 + β-1 + γ-1
Solution
Given p(x) = 6x3 + 3x2 - 5x + 1
a = 6, b = 3, c = -5, d = 1
α, β and γ are zeroes of p(x).






Q27. Verify that -2 and -5 are the zeros of the polynomial x2 + 7x + 10.
Solution
A real number k is said to be a zero of polynomial p(x), if p (k) = 0
p (-2) = (-2)2 + 7
(-2) + 10
= 4 – 14 + 10
p (-2) = 0
p (-5) = (-5)2 + 7
(-5) + 10
= 25 – 35 + 10
p (-5) = 0
Hence -2 and -5 are the zeros of the given polynomial.


Q28. Find the quotient and remainder when x5
+3x4 - 5x3 + 14x2 + 39x - 11 is divided by
4x + x2 - 2.
Solution
Rearranging the terms of divisor
in descending order of degree, we get
Clearly, the degree of remainder
9x + 5 is less than the degree of divisor.
x2 + 4x - 2.
∴ Quotient, q(x) = x3
- x2 + x + 8 and remainder, r(x) = 9x + 5.

Q29. Using the division algorithm, find the divisor if the quotient is p - 3, the remainder is p - 4 and the dividend is p2 + 3p - 7.
Solution
f(x) = p2 + 3p - 7, g(x) = ?, r(x) = p - 4 and q(x) = p - 3
f(x) = q(x) g(x) + r(x)
p2 + 3p - 7 = (p - 3)g(x) + p - 4
∴ (p - 3)g(x) = p2 + 3p - 7 - p + 4
∴ (p - 3)g(x) = p2 + 2p - 3
∴ g(x) =
∴ g(x) =
∴ g(x) =
∴ g(x) =
∴ g(x) = p - 1




Q30. On dividing 3x3 - 2x2 + 5x - 5 by a polynomial p(x), the quotient and the remainder are x2 - x + 2 and -7 respectively. Find p(x).
Solution
Q31. If two of the zeroes of the polynomial p(x) = 5x4 - 5x3 - 33x2 + 3x + 18 are
, find the other two zeroes.

Solution
Since
are zeroes of p(x)
are factors of p(x)
is a factor of p(x)
Or, (5x2 - 3) is a factor of p(x)
p(x) = (5x2 - 3) (x2 - x - 6)
=
(x - 3) (x + 2)
Other zeroes of p(x) are 3 and -2.







Q32. If the remainder on division of x3
+ 2x2 + kx + 3 by x - 3 is 21, then find the quotient and value of
k. Hence, find the zeroes of the cubic polynomial x3 + 2x2
+ kx - 18.
Solution
We have the following terms:
Dividend: f(x) = x3 +
2x2 + kx + 3,
Divisor: g(x) = x - 3 and
remainder, r (x) = 21
Using the remainder thermo, we
have the following expression:
f(3) = 21
The polynomial p(x) is x3
+ 2x2 - 9x + 3.
Now, on long division, we get
Thus, x3 + 2x2
- 9x + 3 = (x - 3 ) (x2 + 5x + 6) + 21
∴ The quotient = x2
+ 5x + 6
Clearly, x3
+ 2x2 - 9x - 18
= (x - 3 )
(x2 + 5x + 6)
= (x - 3 )
(x + 2)(x + 3)
Therefore,
the zeroes of x3 + 2x2 - 9x -
18 are 3, -2 and -3.


Q33. If one solution of the equation 3x2 = 8x + 2k + 1 is seven times the other. Find the solutions and the value of k.
Solution
3x2 = 8x + 2k + 1
3x2 - 8x - 2k - 1 = 0
Let α is one zero.
Then, β = 7α is the other zero
α + 7α = 8/3
8α = 8/3
α = 1/3
β = 7/3

Q34. Find
all other zeroes of the polynomial p (x) = 2x3 + 3x2 -
11x - 6, if one of its zero is -3.
Solution
p
(x) = 2x3 + 3x2 - 11x - 6
One
zero is -3. So, (x + 3) is a factor of p (x).
Quotient = 2x2 - 3x - 2 = (2x + 1)
(x - 2)
Thus, the other zeroes of p(x) are 2 and
.
Hence, all zeroes of p (x) is -3, 2 and
.



Q35. Divide
(6 + 23x + 25x2 + 6x3) by (3 + 7x + 2x2) and
verify the division algorithm.
Solution


Q36. On
dividing 3x3 - 2x2 + 5x - 5 by a polynomial p(x), the
quotient and remainder are x2 - x + 2 and -7 respectively. Find
p(x).
Solution
By division algorithm,




Q37. Find all zeroes of polynomial 4x4 - 20x3 + 23x2 + 5x - 6 if two of its zeroes are 2 and 3.
Solution
Given 2 and 3 are the zeroes of the polynomial.
Thus(x - 2) (x - 3) are factors of this polynomial
4x4 - 20x3 + 23x2 + 5x - 6 = (x2 - 5x + 6) (4x2 - 1)
Thus, 4x4 - 20x3 + 23x2 +5x-6=(x - 2) (x - 3) (2x - 1) (2x + 1)
Hence, 2, 3,
are the zeroes of the given polynomial.


Q38. Divide x4 - 3x2 +
4x + 5 by x2 - x + 1 and verify that
Dividend = Divisor
Quotient +
Reminder.

Solution
Arranging the terms in descending order,
we get
Clearly, the degree of remainder 8 is
zero, which is less than the degree of x2 - x + 1.
Quotient = x2 + x - 3 and remainder = 8.
Verification:
Divisor
Quotient +
Reminder = (x2 - x + 1) (x2 + x - 3) + 8
= x4 + x3 - 3x2
- x3 - x2 + 3x + x2 + x - 3 + 8
= x4 + x3- x3
- 3x2 - x2 + x2 + 3x + x -3 +8
= x4 - 3x2 +
4x + 5 = dividend



Q39. Find the zeroes of
x2 + 5x -
and verify the relation between the zeroes and coefficients of the polynomial.


Solution

Q40. Divide
x4 - 3x2 + 4x + 5 by x2 - x + 1, find
quotient and remainder.
Solution

Q41. If
are the zeroes of f(x) = px2 - 2x + 3p and
=
then the value of p is:



Solution

Q42. If α and β are the roots of the polynomial f (x) = 6x2 + x - 2, find the value of 

Solution
Since α and β are the roots of the polynomial f (x) = 6x2 + x - 2




Q43. Find the quotient and reminder using division algorithm:
f(x) = 15x3 - 20x2 + 13x - 12, g(x) = 2 - 2x + x2
Solution
We have the following equations:
f(x) = 15x3 - 20x2 + 13x - 12 and
g(x) = 2 - 2x + x2 is x2 - 2x + 2
Clearly, degree of f(x) = 3 and degree of g(x) = 2. Therefore, the degree of quotient q(x) = 3 - 2 = 1 and degree of remainder r(x) is less than the degree of g(x), i.e. 2.
Let quotient, q(x) = ax + b and remainder, r(x) = cx + d.
Using division algorithm, we have the following equation:
p(x) = g(x) × q(x) + r(x)
∴15x3 - 20x2 + 13x - 12
= (x2 - 2x + 2) (ax + b) + (cx + d)
= ax3 + bx2 - 2ax2 - 2bx + 2ax + 2b + cx + d
= ax3 + (b - 2a)x2 + (2a + c - 2b) x + (2b + d)
Comparing the coefficient of same powers of x on both sides, we get
a = 15 [Comparing the coefficient of x3]
b - 2a = -20 [Comparing the coefficient of x2]
2a + c - 2b = 13 [Comparing the coefficient of x]
2b + d = -12 [Comparing the constant terms ]
Solving the above equation, we get the following values:
a = 15, b = 10, c = 3 and d = -32
Hence, quotient, q(x) = 15x + 10 and remainder, r(x) = 3x - 32.
Q44. It is being given that 1 is one of the zeros of the polynomial 7x - x3 - 6. Find its other zeros.
Solution
It is given that 1 is a zero of the polynomial -x3 + 7x - 6. So, (x - 1) is a factor of -x3 + 7x - 6.
Now, we have:
(-x3 + 7x - 6)
(x - 1) = (-x2 - x + 6)
- (x2 + x - 6) = -(x + 3) (x - 2)
Other zeros are -3 and 2.



Q45. Find the zeroes of the polynomial 100x2 - 81.
Solution
Since a2 - b2 = (a + b)(a - b)
100x2 - 81 = (10x + 9)(10x - 9)
Thus, the required zeroes are
and 


Q46. Which of the following functions are not polynomials. Give reason for your answer. i)
(ii) x2 + x + 3
(iii)
(iv)



Solution
In (i) the powers of x are 3, -2, -1, and 0. Since -2, -1 are not non-negative integers, therefore it is not a polynomial.
In (ii) the powers of x are 2, 1, 0. Since 2, 1 and 0 are positive integers, therefore it is a polynomial.
In (iii) the powers of the variable u are
, 1, and 0. Since
is not non-negative integer, therefore it is not a polynomial.
In (iv) the powers of x are 3, 0, 1 and 0. As 3, 0, 1, 0 are positive integers, therefore it is a polynomial.


Q47. What must be subtracted from the polynomial 8x4 + 14x3 + x2 + 7x + 8 so that the resulting polynomial is exactly divisible by 4x2 - 3x + 2?
Solution

Q48. Find
all the zeroes of p(x) = x3 - 9x2 - 12x + 20, if (x +
2) is a factor of p(x).
Solution
Given,
x + 2 is a factor of p(x).
p(x) = (x + 2) (x2 - 11x + 10)
= (x + 2) (x2 - 10x -
x + 10)
= (x + 2) (x (x - 10) - (x - 10))
= (x + 2) (x - 1) (x - 10)
Zeroes of p(x) are -2, 1, 10.



Q49. If (x + a) is a factor of two polynomials x2 + px + q and x2 + mx + n, then prove that: 

Solution
(x + a) is a factor of x2 + px + q
(-a)2 + p(-a) + q = 0
a2 - ap + q = 0.
a2 = ap - q ..(i)
(x + a) is a factor of x2 + mx + n
(-a)2 + m (-a) + n = 0
a2 - am + n = 0
a2= am - n ...(ii)
From (i) and (ii),
ap - q = am - n
ap - am = q - n
a(p - m) = q - n
a = 





Q50. What must be added to x3 - 4x2 + x - 6 so that x2 + 2x - 3 becomes its factor?
Solution
(x3 - 4x2 + x - 6)
(x2 + 2x - 3)
Remainder = 16x - 24
Thus, the required expression that must be added is
16x - 24



Q51. If α, β are the zeros of the polynomial 25p2 - 15p + 2, find a quadratic polynomial whose zeros are
and 


Solution
α and β are two roots of 25p2 - 15p + 2
αβ =
For the required polynomial,
Sum of the zeros =
Product of zeroes =
a = 8, b = -30, c = 25
Therefore, required polynomial is 8x2 - 30x + 25.







Q52. The graph of the polynomial p(x) intersects the x-axis three times in distinct points, then which of the following could be an expression for p(x):
Solution
Since, the graph of the polynomial p(x) intersects the x-axis at three distinct points, it will have 3 distinct roots.
Hence, it will be a cubic polynomial.
Thus, amongst the given alternatives the polynomial p(x) can be 4 - 4x - x2 + x3.
Q53. If a and b are the zeroes of the polynomial x2 - 5x + k such that a - b = 1, find the value of k.
Solution
x2 - 5x + k
.....(i)
α - β = 1 ...(ii)
Solving (i) and (ii) we get α = 3 and β = 2
Hence, k = αβ = 3 × 2 = 6


Q54. On
dividing the polynomial 4x4 - 5x3 - 39x2 -
46x - 2 by the polynomial g(x) the quotient and remainder are x2 -
3x - 5 and -5x + 8 respectively. Find g(x).
Solution
p(x)
= 4x4 - 5x3 - 39x2 - 46x - 2
q(x)
= x2 - 3x - 5
r(x)
= -5x + 8
g(x)
=
=
g(x)
= 4x2 + 7x + 2



Q55. On
dividing the polynomial p(x) = 5x4 - 4x3 + 3x2
- 2x + 1 another polynomial g(x) = x2 + 2, if the quotient is ax2
+ bx + c, find a, b and c.
Solution

Q56. The graph of y = p(x) is given below. The number of zeroes of p(x) are :


Solution
The number of zeroes of a polynomial p(x) is the number of times its graph intersects or touches the x-axis.
The given graph touches the x-axis twice, so the number of zeroes of the polynomial y = p(x) is 2.
Q57. Obtain all the zeroes of the polynomial f(x) = x4 - 7x3 + 10x2 + 14x - 24, if two of its zeroes are +
and


Solution
Since,
and
are zeroes of f(x).
(x -
) and (x +
) are factors of f(x)
(x -
) (x +
) is a factor is f(x)
(x2 - 2) is factor of f(x)
We have,
(x2 - 7x + 12) is a factor of f(x)
(x - 3) (x - 4) is a factor of f(x)
(x - 3) and (x - 4) are factors of f(x)
x = 3 and x = 4 are other zeroes of f(x)
Hence, all the zeroes of f(x) are
, -
3 and 4.
















Q58. If the polynomial x4 - 6x3 + 16x2 - 25x + 10 is divided by another polynomial x2 - 2x + k, the remainder comes out to be x + a, find the values of k and a.
Solution
If the polynomial x4 - 6x3 + 16x2 - 25x + 10 on division by x2 - 2x + k leaves remainder (x + a).
Then, polynomial (x4 - 6x3 + 16x2 - 25x + 10) - (x + a) on division by x2 - 2x + k leaves remainder zero.
On long division of polynomial
(x4 - 6x3 + 16x2 - 25x + 10) - (x + a) = x4 - 6x3 + 16x2 - 26x + 10 -a by x2 - 2x + k, the remainder obtained is (-10 + 2k ) x + ( 10 - a - 8k + k2).
(-10 + 2k )x + ( 10 - a - 8k + k2) = 0
-10 + 2k = 0 and 10 - a - 8k + k2 = 0
k = 5 and a = -5



Q59. Find the zeroes of the polynomial 

Solution


Q60. Find the zeroes of the polynomial x2 + 3x - 10 and verify the relation between its zeroes and coefficient.
Solution
We have p(x) = x2 + 3x - 10 = (x + 5)(x - 2)
For any zero, p(x) = 0
x2 + 3x - 10 = 0
(x + 5)(x - 2) = 0
(x + 5) = 0 OR (x - 2) = 0
x = - 5 OR x = 2
The zeros of p(x) = x2 + 3x - 10 are as α = -5 and β = 2
Now, sum of zeros = α + β = -5 + 2 = -3 =
Product of zeros = αβ = (-5) × 2 = - 10 =






Q61. Find the quotient and reminder using division algorithm:
f(x) = 10x4 + 17x3 - 62x2 + 30x - 3, g(x)=2x2 + 7x + 1
Solution
We have the following equations:
f(x) = 10x4 + 17x3 - 62x2 + 30x - 3 and g(x) = 2x2 + 7x + 1.
Clearly, degree of f(x) = 4 and degree of g(x) = 2. Therefore, degree of quotient, q(x) = 4 - 2 = 2 and degree of remainder, r(x) is less than degree of g(x), i.e. 2.
Let quotient, q(x) = ax2 + bx + c and remainder, r(x) = dx + e
Using division algorithm, we have the following equation:
f(x) = g(x) × q(x) + r(x)
∴10x4 + 17x3 - 62x2 + 30x - 3
= (2x2 + 7x + 1) (ax2 + bx + c) + (dx + e)
= 2ax4 + 2bx3 + 2cx2 + 7ax3 + 7bx2 + 7cx + ax2 + bx + c + dx + e
= 2ax4 + (7a + 2b)x3 + (a + 7b + 2c)x2 + (b + 7c + d)x + (c + e)
Comparing the coefficient of same powers of x on both sides, we get
2a = 10 [Comparing the power of x4]
7a + 2b = 17 [Comparing the power of x3]
a + 7b + 2c = -62 [comparing the power of x2]
b + 7c + d = 30 [comparing the power of x]
c + e = -3 [comparing the constant terms]
Solving the above equations, we get the following values:
a = 5, b = -9, c = -2, d = 53 and e = -1
Hence, quotient, q (x) = 5x2 - 9x - 4 and remainder,
r(x) = 53x - 1.
Q62. Find the number of zeros in the following graphs. 

Solution
In (i) the graph intersects the x-axis at two points, hence there are two zeros.
In (ii) the graph intersects the x-axis at three points, hence there are three zeros.
Q63. Find the value of k for which the polynomial x4 + 10x3 + 25x 2 + 15 x + k is exactly divisible by x + 7
Solution
Q64. Find the polynomial of least degree which
should be subtracted from the polynomial
so that it is
exactly divisible by x2 - x + 1.

Solution
Here, p(x) = x4
+ 2x3 - 4x2 + 6x - 3, g(x) = x2 - x +1
On dividing p(x) by
g(x)
Therefore (x-1) must be
subtracted from the polynomial p(x) to make it divisible by g(x).

Q65.
and
are zeroes of the quadratic polynomial x2 - 6x + a. Find the value of 'a' if 3
+ 2
= 20.




Solution
p(x) = x2 - 6x + a
...(1)
Given, 3α + 2β = 20... (2)
Multiplying (1) by 3,
3α + 3β = 18 .....(3)
On solving (2) and (3), we get:
β = -2, α = 8
Now, αβ = a
(8)
(-2) = a
a = -16




Q66. On
dividing the polynomial p(x) by polynomial g(x) = 4x2 + 3x - 2,
the quotient is q(x) = 2x2 + 2x - 1 and remainder is r(x) = 14x -
10. Find the polynomial p(x).
Solution
p(x)
= q(x)
g(x) + r(x)
(By division algorithm)
= (2x2 + 2x - 1) (4x2
+ 3x - 2) + 14x - 10
= 8x4
+ 6x3 - 4x2 + 8x3 + 6x2 - 4x - 4x2
- 3x + 2 + 14x - 10
= 8x4 + 14x3 - 2x2
+ 7x - 8

Q67. Sum of the two zeroes of a polynomial of degree 4 is -1 and their product is -2. If other two zeroes are
and -
. Find the polynomial.


Solution
Two zeroes of polynomial p(x) and
and -
(x -
) and (x +
) are factors of p(x)
(x -
) (x +
) is a factor of p(x)
x2 - 3 is a factor of p(x)
Since, degree of p(x) is 4, so the other factor of p(x) will also be a quadratic polynomial.
Now, it is also given that the sum of the other two zeroes of p(x) is -1 and their product is -2.
So, the other factor is
x2 - (sum of roots) x + product of roots
i.e., x2 + x - 2
p(x) = (x2 - 3) (x2 + x - 2) = x4 + x3 - 5x2 - 3x + 6










Q68. Divide the
polynomial p(x) = 3x2 - x3 - 3x + 5 by g(x) = x - 1 - x2
and find its quotient and remainder.
Solution

Q69. Divide (2x2 + x - 20) by (x + 3) and verify the result by division algorithm.
Solution


Q70. On
dividing the polynomial p(x) = 5x4 -4x3 + 3x2
- 2x + 1 by another polynomial g(x) = x2 + 2, if the quotient is
ax2 + bx + c, find a, b and c.
Solution

Q71. By applying the division algorithm prove that the polynomial g(x) = x2 + 3x + 1 is a factor of the polynomial f(x) = 3x4 + 5x3 - 7x2 + 2x + 2.
Solution
Q72. Find the quotient and reminder using division algorithm:
f(x) = x3 - 6x2 + 11x - 6, g(x) = x + 1
Solution
We have:
f(x) = x3 - 6x2 + 11x - 6 and g(x) = x + 1
Clearly, degree of f(x) = 3 and degree of g(x) = 1. Therefore, the degree of quotient is q(x) = 3 - 1 = 2 and the degree of remainder is r(x) = 0
Let quotient q(x) = ax2 + bx + c and remainder r(x) = k.
Using division algorithm, we have
f(x) = g(x) × q(x) + r(x)
Comparing the coefficient of same powers of x on both sides, we get
a = 1 [Comparing the coefficient of x3]
a + b = -6 [Comparing the coefficient of x2]
b + c = 11 [Comparing the coefficient of x]
c + k = -6 [Comparing the constant terms ]
Solving the above equations, we get the following values:
a = 1, b = -7, c = 18, and k = -24
∴ Quotient is q (x) = x2 - 7x + 18 and remainder is r(x) = -24.

Q73. Find the zeroes of the quadratic polynomial 6x2 - 3 - 7x, and verify the relationship between the zeroes and the coefficients.
Solution
6x2 - 7x - 3
= 6x2 - 9x + 2x - 3
= 3x(2x - 3) + (2x - 3)
= (3x + 1)(2x - 3)
Therefore, the two zeroes are
and
Hence, the relationship between the zeroes and the coefficients is verified.


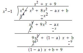
Q74. Find
the values of a and b so that the polynomial p(x) = x4 + x3
+ 8x2 - ax + b is exactly divisible by x2 - 1.
Solution



Comments
Post a Comment